このシリーズでは、東京医科歯科大学の数学の問題を解いていきます。
22回目の今回は2001年です。
第1問

複素数を使ってsinの積を計算する問題です。
(1)この形の方程式を見た瞬間に、z-1をかけてz^5 -1=0と変形したい所です。
これを利用して計算していきます。
(2)w=cos2θ+isin2θと書けることを利用してrを計算していきます。
(3)
rが1-wの形で書けていて(1)の積の因数と類似している一方で、(2)からrがsinθの式で書けることが分かっています。
ここから、(1)(2)を利用するとsinの積が計算できそうです。
<筆者の解答>

第2問

正方形を直線で切った断面、立方体を平面で切った断面を考察する問題です。
(1) t=1を境に場合分けが発生することに注意します。
(2)(3)
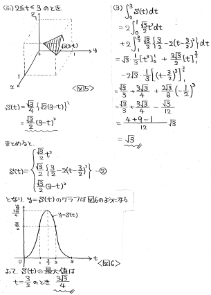
t=1,2を境に同様の場合分けが発生します。1≦t≦2では6角形の断面になりますが、正三角形を利用すると面積が簡単に求まります。(3)の積分計算では対称性を意識するとよいでしょう。
<筆者の解答>


第3問

(修正:Sn,kの説明文は、AではなくZが正しい)
集合の個数に関する問題です。
SとTの条件が長くて分かりにくいですが、分かりやすく翻訳すると以下のような感じになります。
S: Aは1~nのうちk個の整数から構成される
T: Sに加えて、どの要素も差は2以上である(隣接する2整数をAは含まない)
Tを翻訳するにあたり、Rの解釈の仕方が肝になりますね。
(1) f(n,k)を先に直接求めてしまってから漸化式を構成したほうが早いと思います。
漸化式を作るコツは、「k個の集合の個数」を「1を含まないk個の集合の個数」+「1を含むk個の集合の個数」と解釈することです。
(2) こちらもg(n,k)を先に直接求めてしまった方がよいです。
g(n,k)は、1~nから1個以上飛び飛びにk個の整数を選ぶ方法なので、図を描いたりすると「n-k個の●を横一列に並べて、その両端と隙間n-k+1個からk個を選んで〇を挿入する方法」を調べればよいことが分かります。
解説すると、〇がAに含まれる整数、●がAに含まれない整数のことで、それらを〇が隣り合わないように横一列に並べて、左から色を無視して1~nと番号を振ってしまえばよい、ということです。
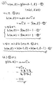
(3) (2)の結果を使うとh(m,l)=f(m,l)だと分かります。
(4) (2)の結果から直接計算すればOKです。
<筆者の解答>

